Формальная логика — это наука об общих структурах правильного мышления в его языковой форме
| \(p\) | \(\neg p\) |
|---|---|
| истина | ложь |
| ложь | истина |
«как \(p\), так и \(q\)».
| \(p\) | \(q\) | \(p \wedge q\) |
|---|---|---|
| истина | истина | истина |
| истина | ложь | ложь |
| ложь | истина | ложь |
| ложь | ложь | ложь |
«или \(p\), или \(q\), или и то и другое»
| \(p\) | \(q\) | \(p \vee q\) |
|---|---|---|
| истина | истина | истина |
| истина | ложь | истина |
| ложь | истина | истина |
| ложь | ложь | ложь |
«либо \(p\), либо \(q\)»
| \(p\) | \(q\) | \(p \,\text{XOR}\,q\) |
|---|---|---|
| истина | истина | ложь |
| истина | ложь | истина |
| ложь | истина | истина |
| ложь | ложь | ложь |
«если \(p\), то \(q\)»
| \(p\) | \(q\) | \(p \rightarrow q\) |
|---|---|---|
| истина | истина | истина |
| истина | ложь | ложь |
| ложь | истина | истина |
| ложь | ложь | истина |
Из ложного утверждения может следовать любое
«только если \(p\), то \(q\)»
| \(p\) | \(q\) | \(p \leftarrow q\) |
|---|---|---|
| истина | истина | истина |
| истина | ложь | истина |
| ложь | истина | ложь |
| ложь | ложь | истина |
«\(p\) только тогда, когда \(q\)»
| \(p\) | \(q\) | \(p \leftrightarrow q\) |
|---|---|---|
| истина | истина | истина |
| истина | ложь | ложь |
| ложь | истина | ложь |
| ложь | ложь | истина |
Множества удобно изображать кружочками. Примерно так:
\[ a_i \in A \]
\[ B = \{ 0,1,2,3,4,5 \} \]
Множество \(A_1 = \{a_1, a_2\}\) является подмножеством множества \(A\):
\[ A_1 \subset A \]
\[ \mathbb{N}\subset \mathbb{Z}\subset \mathbb{Q}\subset \mathbb{R}\subset \mathbb{C} \]
\[ \varnothing \subset M \]
\[ M \subset M \]
\[ A + B = A \cup B = \{ x : x \in A \vee x \in B \} \]
\[ A \cdot B = A \cap B = \{ x : x \in A \wedge x \in B \} \]
\[ A ∖ B = \{ x : x \in A \wedge x \notin B \} \]
\[ U ∖ A = A^c = \bar A = \{ x : x \notin A \} \]
\[ A \, \Delta \, B = ( A ∖ B ) \cup ( B ∖ A ) = \{ x : x \in A \,\text{XOR}\,x \in B \} \]
\[ A \times B = \{ (a,b) : a \in A, b \in B \} \]
Пусть \(L\) — множество букв латинского алфавита
\[ L = \{ \text{a}, \text{b}, \text{c}, \text{d},\dots, \text{x}, \text{y}, \text{z} \} \]
а \(N\) — множество натуральных чисел от 1 до 26
\[ N = \{ 1,2,3, \dots,24,25,26 \} \]
Тогда мы можем задать такое отображение \(F\)
\[ F : L \rightarrow N, \]
где каждой букве будет соответствовать её порядковый номер в алфавите.
Множества могут быть конечными и бесконечными.
Формула числа перестановок из \(n\) элементов:
\[ P_n = n \cdot (n-1) \cdot (n-2) \cdot \ldots = n! \]
Любые \(n\) объектов можно расставить на \(n\) мест \(n!\) способами.
Например, для пяти элементов все возможные перестановки выглядят так:
\[ \matrix{ 1 & 2 & 3 & 4 & 5 \\ 1 & 2 & 3 & 5 & 4 \\ \\ 1 & 2 & 4 & 3 & 5 \\ 1 & 2 & 4 & 5 & 3 \\ \\ 1 & 2 & 5 & 3 & 4 \\ 1 & 2 & 5 & 4 & 3 \\ \\ \\ 1 & 3 & 2 & 4 & 5 \\ 1 & 3 & 2 & 5 & 4 \\ \\ 1 & 3 & 4 & 2 & 5 \\ 1 & 3 & 4 & 5 & 2 \\ \\ 1 & 3 & 5 & 2 & 4 \\ 1 & 3 & 5 & 4 & 2 \\ \\ \\ 1 & 4 & 2 & 3 & 5 \\ 1 & 4 & 2 & 5 & 3 \\ \\ 1 & 4 & 3 & 2 & 5 \\ 1 & 4 & 3 & 5 & 2 \\ \\ 1 & 4 & 5 & 2 & 3 \\ 1 & 4 & 5 & 3 & 2 \\ \\ \\ 1 & 5 & 2 & 3 & 4 \\ 1 & 5 & 2 & 4 & 3 \\ \\ 1 & 5 & 3 & 2 & 4 \\ 1 & 5 & 3 & 4 & 2 \\ \\ 1 & 5 & 4 & 2 & 3 \\ 1 & 5 & 4 & 3 & 2 \\ \\ \\ 2 & 1 & 3 & 4 & 5 \\ 2 & 1 & 3 & 5 & 4 \\ \\ 2 & 1 & 4 & 3 & 5 \\ 2 & 1 & 4 & 5 & 3 \\ \\ 2 & 1 & 5 & 3 & 4 \\ 2 & 1 & 5 & 4 & 3 \\ \\ \\ 2 & 3 & 1 & 4 & 5 \\ 2 & 3 & 1 & 5 & 4 \\ \\ 2 & 3 & 4 & 1 & 5 \\ 2 & 3 & 4 & 5 & 1 \\ \\ 2 & 3 & 5 & 1 & 4 \\ 2 & 3 & 5 & 4 & 1 \\ \\ \\ 2 & 4 & 1 & 3 & 5 \\ 2 & 4 & 1 & 5 & 3 \\ \\ 2 & 4 & 3 & 1 & 5 \\ 2 & 4 & 3 & 5 & 1 \\ \\ 2 & 4 & 5 & 1 & 3 \\ 2 & 4 & 5 & 3 & 1 \\ \\ \\ 2 & 5 & 1 & 3 & 4 \\ 2 & 5 & 1 & 4 & 3 \\ \\ 2 & 5 & 4 & 1 & 3 \\ 2 & 5 & 4 & 3 & 1 \\ \\ 2 & 5 & 3 & 1 & 4 \\ 2 & 5 & 3 & 4 & 1 \\ \\ \\ 3 & 1 & 2 & 4 & 5 \\ 3 & 1 & 2 & 5 & 4 \\ \\ 3 & 1 & 4 & 2 & 5 \\ 3 & 1 & 4 & 5 & 2 \\ \\ 3 & 1 & 5 & 2 & 4 \\ 3 & 1 & 5 & 4 & 2 \\ \\ \\ 3 & 2 & 1 & 4 & 5 \\ 3 & 2 & 1 & 5 & 4 \\ \\ 3 & 2 & 4 & 1 & 5 \\ 3 & 2 & 4 & 5 & 1 \\ \\ 3 & 2 & 5 & 1 & 4 \\ 3 & 2 & 5 & 4 & 1 \\ \\ \\ 3 & 4 & 1 & 2 & 5 \\ 3 & 4 & 1 & 5 & 2 \\ \\ 3 & 4 & 2 & 1 & 5 \\ 3 & 4 & 2 & 5 & 1 \\ \\ 3 & 4 & 5 & 1 & 2 \\ 3 & 4 & 5 & 2 & 1 \\ \\ \\ 3 & 5 & 1 & 2 & 4 \\ 3 & 5 & 1 & 4 & 2 \\ \\ 3 & 5 & 2 & 1 & 4 \\ 3 & 5 & 2 & 4 & 1 \\ \\ 3 & 5 & 4 & 1 & 2 \\ 3 & 5 & 4 & 2 & 1 \\ \\ \\ 4 & 1 & 2 & 3 & 5 \\ 4 & 1 & 2 & 5 & 3 \\ \\ 4 & 1 & 3 & 2 & 5 \\ 4 & 1 & 3 & 5 & 2 \\ \\ 4 & 1 & 5 & 2 & 3 \\ 4 & 1 & 5 & 3 & 2 \\ \\ \\ 4 & 2 & 1 & 3 & 5 \\ 4 & 2 & 1 & 5 & 3 \\ \\ 4 & 2 & 3 & 1 & 5 \\ 4 & 2 & 3 & 5 & 1 \\ \\ 4 & 2 & 5 & 1 & 3 \\ 4 & 2 & 5 & 3 & 1 \\ \\ \\ 4 & 3 & 1 & 2 & 5 \\ 4 & 3 & 1 & 5 & 2 \\ \\ 4 & 3 & 2 & 1 & 5 \\ 4 & 3 & 2 & 5 & 1 \\ \\ 4 & 3 & 5 & 1 & 2 \\ 4 & 3 & 5 & 2 & 1 \\ \\ \\ 4 & 5 & 1 & 2 & 3 \\ 4 & 5 & 1 & 3 & 2 \\ \\ 4 & 5 & 2 & 1 & 3 \\ 4 & 5 & 2 & 3 & 1 \\ \\ 4 & 5 & 3 & 1 & 2 \\ 4 & 5 & 3 & 2 & 1 \\ \\ \\ 5 & 1 & 2 & 3 & 4 \\ 5 & 1 & 2 & 4 & 3 \\ \\ 5 & 1 & 3 & 2 & 4 \\ 5 & 1 & 3 & 4 & 2 \\ \\ 5 & 1 & 4 & 2 & 3 \\ 5 & 1 & 4 & 3 & 2 \\ \\ \\ 5 & 2 & 1 & 3 & 4 \\ 5 & 2 & 1 & 4 & 3 \\ \\ 5 & 2 & 3 & 1 & 4 \\ 5 & 2 & 3 & 4 & 1 \\ \\ 5 & 2 & 4 & 1 & 3 \\ 5 & 2 & 4 & 3 & 1 \\ \\ \\ 5 & 3 & 1 & 2 & 4 \\ 5 & 3 & 1 & 4 & 2 \\ \\ 5 & 3 & 2 & 1 & 4 \\ 5 & 3 & 2 & 4 & 1 \\ \\ 5 & 3 & 4 & 1 & 2 \\ 5 & 3 & 4 & 2 & 1 \\ \\ \\ 5 & 4 & 1 & 2 & 3 \\ 5 & 4 & 1 & 3 & 2 \\ \\ 5 & 4 & 2 & 1 & 3 \\ 5 & 4 & 2 & 3 & 1 \\ \\ 5 & 4 & 3 & 1 & 2 \\ 5 & 4 & 3 & 2 & 1 \\ } \]
Формула подсчета числа размещений (без повторений) из \(n\) элементов по \(k\) местам:
\[ A_n^k = \frac{n!}{(n-k)!} \]
Так как \(k < n\), то некоторые перестановки для нас становтся идентичны:
\[ \matrix{ 1 & 2 & 3 & [4 & 5] && 1 & 2 & 3 & [5 & 4] \\ \\ 1 & 2 & 4 & [3 & 5] && 1 & 2 & 4 & [5 & 3] \\ \\ 1 & 2 & 5 & [3 & 4] && 1 & 2 & 5 & [4 & 3] \\ \\ \\ 1 & 3 & 2 & [4 & 5] && 1 & 3 & 2 & [5 & 4] \\ \\ 1 & 3 & 4 & [2 & 5] && 1 & 3 & 4 & [5 & 2] \\ \\ 1 & 3 & 5 & [2 & 4] && 1 & 3 & 5 & [4 & 2] \\ \\ \\ 1 & 4 & 2 & [3 & 5] && 1 & 4 & 2 & [5 & 3] \\ \\ 1 & 4 & 3 & [2 & 5] && 1 & 4 & 3 & [5 & 2] \\ \\ 1 & 4 & 5 & [2 & 3] && 1 & 4 & 5 & [3 & 2] \\ \\ \\ 1 & 5 & 2 & [3 & 4] && 1 & 5 & 2 & [4 & 3] \\ \\ 1 & 5 & 3 & [2 & 4] && 1 & 5 & 3 & [4 & 2] \\ \\ 1 & 5 & 4 & [2 & 3] && 1 & 5 & 4 & [3 & 2] \\ \\ \\ 2 & 1 & 3 & [4 & 5] && 2 & 1 & 3 & [5 & 4] \\ \\ 2 & 1 & 4 & [3 & 5] && 2 & 1 & 4 & [5 & 3] \\ \\ 2 & 1 & 5 & [3 & 4] && 2 & 1 & 5 & [4 & 3] \\ \\ \\ 2 & 3 & 1 & [4 & 5] && 2 & 3 & 1 & [5 & 4] \\ \\ 2 & 3 & 4 & [1 & 5] && 2 & 3 & 4 & [5 & 1] \\ \\ 2 & 3 & 5 & [1 & 4] && 2 & 3 & 5 & [4 & 1] \\ \\ \\ 2 & 4 & 1 & [3 & 5] && 2 & 4 & 1 & [5 & 3] \\ \\ 2 & 4 & 3 & [1 & 5] && 2 & 4 & 3 & [5 & 1] \\ \\ 2 & 4 & 5 & [1 & 3] && 2 & 4 & 5 & [3 & 1] \\ \\ \\ 2 & 5 & 1 & [3 & 4] && 2 & 5 & 1 & [4 & 3] \\ \\ 2 & 5 & 4 & [1 & 3] && 2 & 5 & 4 & [3 & 1] \\ \\ 2 & 5 & 3 & [1 & 4] && 2 & 5 & 3 & [4 & 1] \\ \\ \\ 3 & 1 & 2 & [4 & 5] && 3 & 1 & 2 & [5 & 4] \\ \\ 3 & 1 & 4 & [2 & 5] && 3 & 1 & 4 & [5 & 2] \\ \\ 3 & 1 & 5 & [2 & 4] && 3 & 1 & 5 & [4 & 2] \\ \\ \\ 3 & 2 & 1 & [4 & 5] && 3 & 2 & 1 & [5 & 4] \\ \\ 3 & 2 & 4 & [1 & 5] && 3 & 2 & 4 & [5 & 1] \\ \\ 3 & 2 & 5 & [1 & 4] && 3 & 2 & 5 & [4 & 1] \\ \\ \\ 3 & 4 & 1 & [2 & 5] && 3 & 4 & 1 & [5 & 2] \\ \\ 3 & 4 & 2 & [1 & 5] && 3 & 4 & 2 & [5 & 1] \\ \\ 3 & 4 & 5 & [1 & 2] && 3 & 4 & 5 & [2 & 1] \\ \\ \\ 3 & 5 & 1 & [2 & 4] && 3 & 5 & 1 & [4 & 2] \\ \\ 3 & 5 & 2 & [1 & 4] && 3 & 5 & 2 & [4 & 1] \\ \\ 3 & 5 & 4 & [1 & 2] && 3 & 5 & 4 & [2 & 1] \\ \\ \\ 4 & 1 & 2 & [3 & 5] && 4 & 1 & 2 & [5 & 3] \\ \\ 4 & 1 & 3 & [2 & 5] && 4 & 1 & 3 & [5 & 2] \\ \\ 4 & 1 & 5 & [2 & 3] && 4 & 1 & 5 & [3 & 2] \\ \\ \\ 4 & 2 & 1 & [3 & 5] && 4 & 2 & 1 & [5 & 3] \\ \\ 4 & 2 & 3 & [1 & 5] && 4 & 2 & 3 & [5 & 1] \\ \\ 4 & 2 & 5 & [1 & 3] && 4 & 2 & 5 & [3 & 1] \\ \\ \\ 4 & 3 & 1 & [2 & 5] && 4 & 3 & 1 & [5 & 2] \\ \\ 4 & 3 & 2 & [1 & 5] && 4 & 3 & 2 & [5 & 1] \\ \\ 4 & 3 & 5 & [1 & 2] && 4 & 3 & 5 & [2 & 1] \\ \\ \\ 4 & 5 & 1 & [2 & 3] && 4 & 5 & 1 & [3 & 2] \\ \\ 4 & 5 & 2 & [1 & 3] && 4 & 5 & 2 & [3 & 1] \\ \\ 4 & 5 & 3 & [1 & 2] && 4 & 5 & 3 & [2 & 1] \\ \\ \\ 5 & 1 & 2 & [3 & 4] && 5 & 1 & 2 & [4 & 3] \\ \\ 5 & 1 & 3 & [2 & 4] && 5 & 1 & 3 & [4 & 2] \\ \\ 5 & 1 & 4 & [2 & 3] && 5 & 1 & 4 & [3 & 2] \\ \\ \\ 5 & 2 & 1 & [3 & 4] && 5 & 2 & 1 & [4 & 3] \\ \\ 5 & 2 & 3 & [1 & 4] && 5 & 2 & 3 & [4 & 1] \\ \\ 5 & 2 & 4 & [1 & 3] && 5 & 2 & 4 & [3 & 1] \\ \\ \\ 5 & 3 & 1 & [2 & 4] && 5 & 3 & 1 & [4 & 2] \\ \\ 5 & 3 & 2 & [1 & 4] && 5 & 3 & 2 & [4 & 1] \\ \\ 5 & 3 & 4 & [1 & 2] && 5 & 3 & 4 & [2 & 1] \\ \\ \\ 5 & 4 & 1 & [2 & 3] && 5 & 4 & 1 & [3 & 2] \\ \\ 5 & 4 & 2 & [1 & 3] && 5 & 4 & 2 & [3 & 1] \\ \\ 5 & 4 & 3 & [1 & 2] && 5 & 4 & 3 & [2 & 1] \\ } \]
Формула для подсчета числа сочетаний из \(n\) элементов по \(k\):
\[ С_n^k = \frac{n!}{k!(n-k)!} \]
Нам все равно на порядок элементов, поэтому число сочетаний меньше числа размещений в количество раз, равное числу перестановок \(k!\).
Все возможные сочетания пяти элементов по три представлены ниже:
\[ \matrix { 1 & 2 & 3 && 1 & 4 & 5 \\ 1 & 2 & 4 && 2 & 3 & 4 \\ 1 & 2 & 5 && 2 & 3 & 5 \\ 1 & 3 & 4 && 2 & 4 & 5 \\ 1 & 3 & 5 && 3 & 4 & 5 } \]
Числовая последовательность — это последовательность любых чисел.
\[ (x_n)^\infty_{n=1} \]
Например, \(\langle 1,-1,1,-1,\dots \rangle\) — это числовая последовательность, которую можно обозначить \(\big( (-1)^n \big)^\infty_{n=1}\).
Если существует такой объект (число), к которому элементы последовательности приближаются с ростом номера, то он является пределом этой последовательности.
Пусть есть последовательность:
\[ \Big( \frac{1}{n} \Big)^{\infty}_{n=1} = \Big \langle 1, \frac{1}{2}, \frac{1}{3}, \dots \Big \rangle \]
Число \(a\) называется пределом последовательности \(\{x_n\}\), если для любого положительного числа \(\varepsilon\) существует номер \(N_\varepsilon\), такой что для любого \(n > N_\varepsilon\), выполняется равенство \(|x_n - a| < \varepsilon\), или на математическом:
\[ \lim_{n \rightarrow \infty} x_n = a \Leftrightarrow \forall \varepsilon > 0 \, \, \exists N_\varepsilon \in \mathbb{N}: n \geq N_\varepsilon, |x_n - a| < \varepsilon \]
\[ (x,y) \in X \times Y, \] таких что
Если функция определена на множестве целых чисел \(\mathbb{Z}\), то она будет дискретная, так как между, например, \(1\) и \(2\) будет пусто.
Если функция определена на множестве \(\mathbb{R}\), то она будет непрерывной. Например, функция \(f(x) = x^2\) является непрерывной, как ифункции \(f(x) = \sqrt{x}\) и \(f(x) = \ln(x)\). Если функция непрерывная, то она дифференцируема.
А раз они дифференцируемы, то мы можем взять производную!
Производная показывает
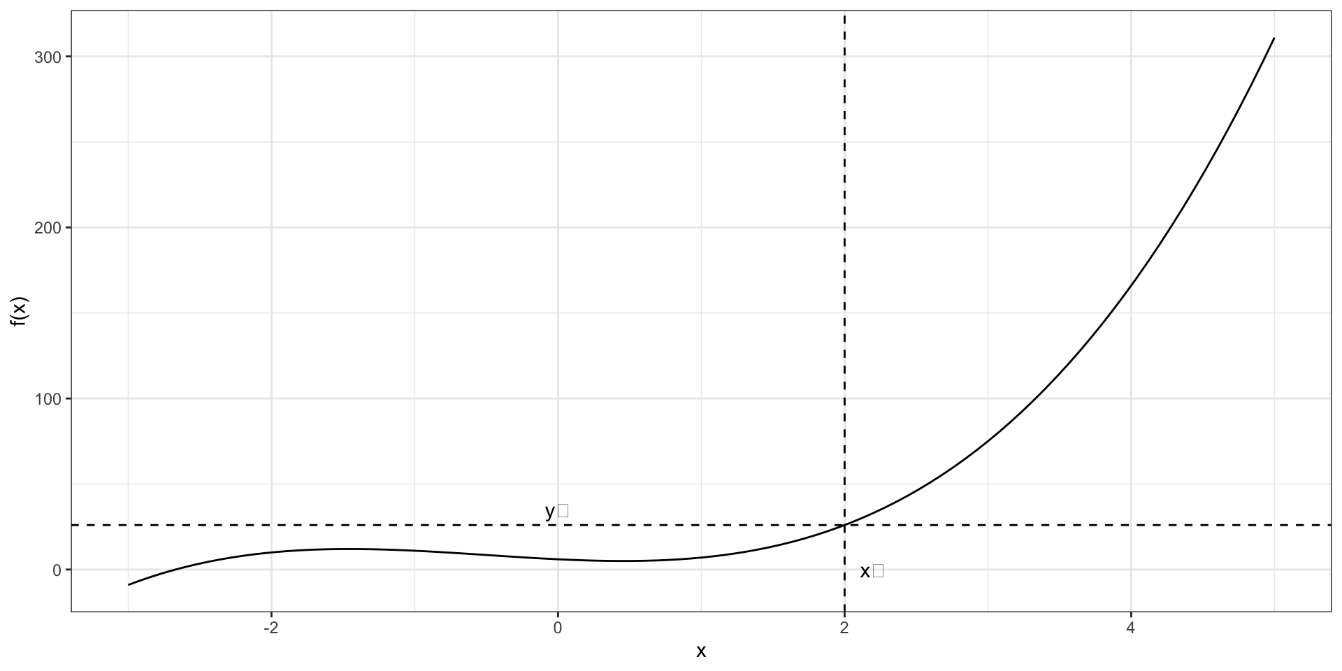
Пусть дана функция \(f(x) = 2x^3 + 3x^2-4x+6\).
Выберем точку \(x_0\), в которой мы хотим определить, куда и с какой скоростью движется наша функция. В этой точке функция имеет значение \(y_0\):
Шагнём на некоторую дистанцию \(\Delta x\) вправо (по направлению оси \(x\)). Назовём эту дистанцию приращением аргумента. В точке \(x_0 + \Delta x\) фунция будет иметь какое-то значение \(y_0 + \Delta y\), где \(\Delta y\) — приращение функции.
Наша функция движется из точки \((x_0,y_0)\) в точку \((x_0 + \Delta x, y_0 + \Delta y)\). Имеем следующий треугольник:
Нас интересует угол \(\alpha\) — именно он задает скорость и направление изменения функции. Если мы узнаем, каков угол \(\alpha\) — а точнее \(\tan \alpha\), потому что так проще — то узнаем, куда движется функция.
\[ \tan \alpha = \frac{\Delta y}{\Delta x} \]
Ну, хорошо. Но мы шагали достаточно далеко от точки, которая нас интесует. Если мы будем постепенно уменьшать шаг, то получим последовательность
\[ \langle \tan \alpha_1, \tan \alpha_2, \tan \alpha_3, ... \rangle \]
У этой последовательности есть предел, и если мы его рассчитаем, то как раз и получим значение производной в данной точке.
\[ f'(x_0) = \lim_{\Delta x \rightarrow 0} \frac{\Delta f_(x)}{\Delta x} = \frac{df}{dx}(x_0) \]
Очень маленькое приращение обозначается \(dx\) (или \(df\) , если это приращение функции). Вот мы и получили производную.
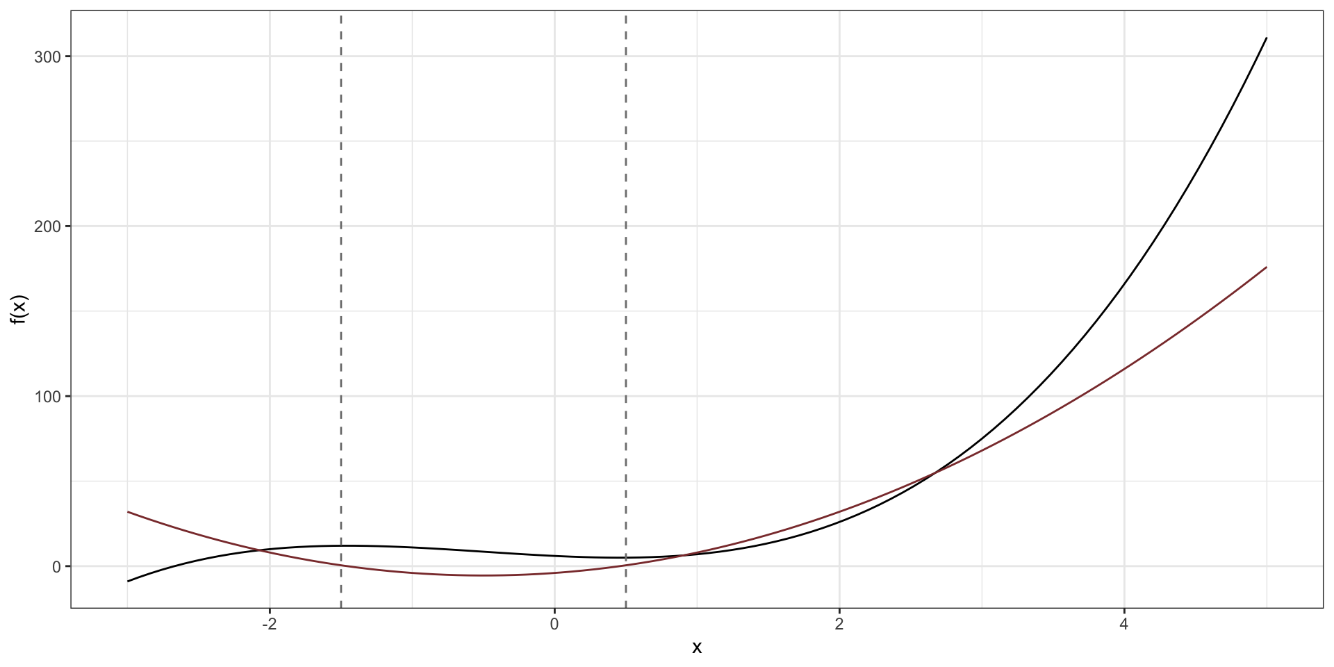
В точках, где график производной пересекает ось \(x\) — то есть там, где производная равна нулю — на исходной функции случаются точки смены монотонности — точки минимума и максимума.
Мы хорошо знакомы с функциями одной переменной, где некий \(y\) зависит от некоего \(x\) и более ни от чего не зависит. Однако в общем случае никто нам не может помешать задать следующую функцию:
\[ f(x, y) = 2x^2 + y^3 \]
Теперь у нас две переменные — \(x\) и \(y\) — и от них обоих зависит значение функции. Это даже можно изобразить:
Рассмотрим на примере нашей функции \(f(x, y) = 2x^2 + y^3\). Пусть мы хотим взять производную по \(x\). Тогда мы предполагаем следующее:
\[ y = \text{const}\Rightarrow y^3 = \text{const}= c \]
Фцнкция примет следующий вид:
\[ f(x, y) = 2x^2 + c, \]
а производная по \(x\) будет вычисляться следующим образом:
\[ \frac{\partial f(x, y)}{\partial x} = (2x^2 + c)' = (2x^2)' = 4x \]
Аналогично можно найти частную производную по \(y\):
\[ x = \text{const}\Rightarrow 2x^2 = \text{const}= c \]
\[ \frac{\partial f(x, y)}{\partial y} = (c + y^3)' = (y^3)' = 3x^2 \]
Знакомство с вычислением частной производной понадобится нам, чтобы понять, как внутри устроена линейная регрессия и ухватить идею градиентного спуска.
Пусть у нас есть функция \(y = \sqrt{x}\). Нам надо найти площадь под её графиком на отрезке от \(0\) до \(3\).
Мы можем разбить этот отрезок на части размером \(\Delta x\), а саму площадь на соответствующие прямоугольники. Это нам позволит оценить площадь. На рисунке ниже \(\Delta x = 0.25\).
Получается, площадь можно оценить, сложив площади всех прямоугольников:
\[ S \approx \sum_{i=1}^n y_i \Delta x \]
Чем более узкими прямоугольники у нас будут, тем точнее мы будем знать площадь. Ниже представлены рисунки для случая \(\Delta x = 0.1\) и \(\Delta x = 0.05\).


Чтобы вычислить площадь точно, снова воспользуемся пределами, и определим с их помощью определенный интеграл:
\[ \lim_{\Delta x \rightarrow 0} \sum_{i = 1}^n y_i \Delta x = \int_a^b \sqrt{x}\,dx \]
Определенный он потому, что мы знаем, площадь в каких границах нас интересует. Определённый интеграл — это число.
\[ \int_0^3 \sqrt{x} \, dx \approx 3.46 \]
Неопределённый интеграл (первообразная) — это такая функция \(F(x)\), производная которой \(F'(x)\) равняется \(f(x)\), то есть исходной функции. Таким образом, справедливо равенство
\[ F'(x) = f(x) \]
\[ \int_a^b f(x) dx = F(b) - F(a) \]
\[ \cases{ a_{11}x_1 + a_{12}x_2 + \cdots + a_{1m}x_m = b_1 \\ a_{21}x_1 + a_{22}x_2 + \cdots + a_{2m}x_m = b_2 \\ \cdots \\ a_{n1}x_1 + a_{n2}x_2 + \cdots + a_{nm}x_m = b_n \\ } \]
\[ \mathbf{A}\mathbf{x} = \mathbf{b} \]
\[ \mathbf{A} = \pmatrix{ a_{11} & a_{12} & \cdots & a_{1m} \\ a_{21} & a_{22} & \cdots & a_{2m} \\ \vdots & \vdots & \ddots & \vdots \\ a_{n1} & a_{n2} & \cdots & a_{nm} } \quad \mathbf{x} = \pmatrix{x_1 \\ x_2 \\ \vdots \\ x_m} \quad \mathbf{b} = \pmatrix{b_1 \\ b_2 \\ \vdots \\ b_n} \]
\[ \mathbf{r} = \pmatrix{r_1 & r_2 & r_3 & \dots & r_n} \] \[ \mathbf{c} = \pmatrix{c_1 \\ c_2 \\ c_3 \\ \vdots \\ c_m} \]
\[ \mathbf{v} = \pmatrix{v_1 & v_2 & v_3 & \dots & v_n} \]
\[ \mathbf{w} = \pmatrix{w_1 & w_2 & w_3 & \dots & w_n} \]
\[ \mathbf{v} + \mathbf{w} = \pmatrix{v_1 + w_1 & v_2 + w_2 & v_3 + w_3 & \dots & v_n + w_n} \]
\[ \alpha \cdot \mathbf{v} = \pmatrix{\alpha \cdot v_1 & \alpha \cdot v_2 & \alpha \cdot v_3 & \dots & \alpha \cdot v_n}, \quad \forall \alpha \in \mathbb{R} \]
\[ \mathbf{v} \cdot \mathbf{w} = v_1 w_1 + v_2 w_2 + v_3 w_3 + \dots + v_n w_n \]
В результате скалярного произведения векторов получается одно число.
\[ \mathbf{A} = \pmatrix{ a_{11} & a_{12} & \cdots & a_{1m} \\ a_{21} & a_{22} & \cdots & a_{2m} \\ \vdots & \vdots & \ddots & \vdots \\ a_{n1} & a_{n2} & \cdots & a_{nm} } \]
\[ \mathbf{A} = \pmatrix{ \mathbf{a_1} & \mathbf{a_2} & \cdots & \mathbf{a_m} \\ } \]
\[ \mathbf{A} = \pmatrix{ \mathbf{a_1} \\ \mathbf{a_2} \\ \cdots \\ \mathbf{a_n} } \]
Матрица характеризуется размером. В размере сначала указывается количество строк, затем — количество столбцов. Рассматриваемая нами матрица \(\mathbf{A}\) имеет размер \(n \times m\), что можно записать как \(\mathbf{A}_{n \times m}\).
\[ \mathbf{I} = \mathbf{E} = \pmatrix{ 1 & 0 & \dots & 0 \\ 0 & 1 & \dots & 0 \\ \vdots & \vdots & \ddots & \vdots \\ 0 & 0 & \dots & 1 \\ } \quad \mathbf{O} = \pmatrix{ 0 & 0 & \dots & 0 \\ 0 & 0 & \dots & 0 \\ \vdots & \vdots & \ddots & \vdots \\ 0 & 0 & \dots & 0 \\ } \]
\[ \mathbf{A}_{n \times m} + \mathbf{B}_{n \times m} = \pmatrix { a_{11} + b_{11} & a_{12} + b_{12} & \dots & a_{1m} + b_{1m} \\ a_{21} + b_{21} & a_{22} + b_{22} & \dots & a_{2m} + b_{2m} \\ \vdots & \vdots & \ddots & \vdots \\ a_{n1} + b_{n1} & a_{n2} + b_{n2} & \dots & a_{nm} + b_{nm} \\ } \]
\[ \alpha \cdot \mathbf{A} = \pmatrix{ \alpha \cdot a_{11} & \alpha \cdot a_{12} & \alpha \cdot \cdots & a_{1m} \\ \alpha \cdot a_{21} & \alpha \cdot a_{22} & \cdots & \alpha \cdot a_{2m} \\ \vdots & \vdots & \ddots & \vdots \\ \alpha \cdot a_{n1} & \alpha \cdot a_{n2} & \cdots & \alpha \cdot a_{nm} } \quad \forall \alpha \in \mathbb{R} \]
Визуально:
Пусть есть две матрицы \(\mathbf{A}_{n \times k} \times \mathbf{B}_{k \times m}\), которые выглядят следующим образом:
\[ \mathbf{A} = \pmatrix{\mathbf{a}_1 \\ \mathbf{a}_2 \\ \vdots \\ \mathbf{a}_n} = \pmatrix{ a_{11} & a_{12} & \dots & a_{1k} \\ a_{21} & a_{22} & \dots & a_{2k} \\ \vdots & \vdots & \ddots & \vdots \\ a_{n1} & a_{n2} & \dots & a_{nk} } \]
\[ \mathbf{B} = \pmatrix{\mathbf{b}_1 & \mathbf{b}_2 & \dots & \mathbf{b}_m} = \pmatrix{ b_{11} & b_{12} & \dots & b_{1m} \\ b_{21} & b_{22} & \dots & b_{2m} \\ \vdots & \vdots & \ddots & \vdots \\ b_{k1} & b_{k2} & \dots & b_{km} } \]
\[ \mathbf{A} \times \mathbf{B} = \pmatrix{ \mathbf{a}_1 \cdot \mathbf{b}_1 & \mathbf{a}_1 \cdot \mathbf{b}_2 & \dots & \mathbf{a}_1 \cdot \mathbf{b}_m \\ \mathbf{a}_2 \cdot \mathbf{b}_1 & \mathbf{a}_2 \cdot \mathbf{b}_2 & \dots & \mathbf{a}_2 \cdot \mathbf{b}_m \\ \vdots & \vdots & \ddots & \vdots \\ \mathbf{a}_n \cdot \mathbf{b}_1 & \mathbf{a}_n \cdot \mathbf{b}_2 & \dots & \mathbf{a}_n \cdot \mathbf{b}_m \\ } = \]
\[ = \pmatrix{ (a_{11}b_{11} + a_{12}b_{21} + \dots + a_{1k}b_{k1}) & (a_{11}b_{12} + a_{12}b_{22} + \dots + a_{1k}b_{k2}) & \dots & (a_{11}b_{1m} + a_{12}b_{2m} + \dots + a_{1k}b_{km}) \\ (a_{21}b_{11} + a_{22}b_{21} + \dots + a_{2k}b_{k1}) & (a_{21}b_{12} + a_{12}b_{22} + \dots + a_{2k}b_{k2}) & \dots & (a_{21}b_{1m} + a_{22}b_{2m} + \dots + a_{2k}b_{km}) \\ \vdots & \vdots & \ddots & \vdots \\ (a_{n1}b_{11} + a_{n2}b_{21} + \dots + a_{nk}b_{k1}) & (a_{n1}b_{12} + a_{n2}b_{22} + \dots + a_{nk}b_{k2}) & \dots & (a_{n1}b_{1m} + a_{n2}b_{2m} + \dots + a_{nk}b_{km}) \\ } = \]
\[ = \pmatrix{ c_{11} & c_{12} & \dots & c_{1m} \\ c_{21} & c_{22} & \dots & c_{2m} \\ \vdots & \vdots & \ddots & \vdots \\ c_{n1} & c_{n2} & \dots & c_{nm} } = \mathbf{C} \]
\[ c_{ij} = \sum_{t=1}^k a_{it}b_{tj} \]
\[ \mathbf{A} = \pmatrix{\mathbf{a}_1 & \mathbf{a}_2 & \dots & \mathbf{a}_n} = \pmatrix{ a_{11} & a_{12} & \dots & a_{1k} \\ a_{21} & a_{22} & \dots & a_{2k} \\ \vdots & \vdots & \ddots & \vdots \\ a_{n1} & a_{n2} & \dots & a_{nk} } \]
\[ \mathbf{A}^T = \pmatrix{\mathbf{a}_1 \\ \mathbf{a}_2 \\ \vdots \\ \mathbf{a}_n} = \pmatrix{ a_{11} & a_{21} & \dots & a_{n1} \\ a_{12} & a_{22} & \dots & a_{n2} \\ \vdots & \vdots & \ddots & \vdots \\ a_{1k} & a_{2k} & \dots & a_{nk} } \]
Определитель (детерминант) матрицы \(\det \mathbf{A}\), \(|\mathbf{A}|\), \(\Delta A\) — это величина, которая «определяет» свойства матрицы, в том числе одно из ключевых — её обратимость.
След матрицы — это сумма элементов главной диагонали (квадратной) матрицы.
\[ \text{tr}(\mathbf{A}) = \sum_i a_{ii} \]
Антон Ангельгардт

WLM 2023