Параметр (\(\theta\)) — относительно постоянная [от одной совокупности к другой] величина, харакретизующая генеральную совокупность по некоторому показателю.
величина параметра, который мы изучаем, неизвестна
выборочная совокупность (выборка)
выборочная характеристика, или оценка (\(\hat \theta\))
Неопределённость — мы не знаем, что именно мы получим в результате наших измерений для конкретной выборки
Вариативность — наши данные будут различатся от выборки к выборке и от респондента к респонденту
нам не доступны истинные значения параметров
вынуждены использовать оценки этих параметров
Как нам получить эти оценки?
Какими свойствами они должны обладать, чтобы хорошо отражать параметры генеральной совокупности?
\[ \hat \theta = \hat \theta (\mathbf{x}), \; \mathbf{x} = \pmatrix{ x_1 & x_2 & \dots & x_n} \]
В методе моментов есть три этапа:
\[ \quad \theta = \xi(\mu_k), \]
где \(\mu_k\) — это момент случайной величины.
\[ \hat \theta = \xi(\mu_k^*) \]
\[ \mu = \mathbb{E}X \]
\[ \hat \mu = \frac{1}{n} \sum_{i=1}^n x_i = \bar x \]
\[ \forall n \; \mathbb{E} \hat \theta = \theta \] где \(n\) — объём выборок.
\[ \mathbb{E}(\bar X) \overset{?}{=}\mu \]
\[ X_1, X_2, \dots ,X_n \overset{\text{i.i.d}}{\thicksim} (\mu, \sigma^2) \]
\[ \mathbb{E}(\bar X) = \mathbb{E}\Big( \frac{1}{n} (X_1 + X_2 + \dots + X_n) \Big) = \frac{1}{n} \Big( \mathbb{E}(X_1) + \mathbb{E}(X_2) + \dots + \mathbb{E}(X_n) \Big) \]
\[ \mathbb{E}(\bar X) = \frac{1}{n} \cdot n \cdot \mu = \mu \]
\[ \text{var}(X) = \mathbb{E}(X^2) - \big( \mathbb{E}X\big)^2 \]
\[ \text{var}(X) = \mathbb{E}(X - \mathbb{E}X)^2 = \frac{\sum_{i=1}^n(\mu - x_i)^2}{n} \]
Формулы эквивалентны:
\[ \begin{split} \text{var}(x) &= \mathbb{E}\big( (X - \mathbb{E}X )^2 \big) = \mathbb{E}\big( X^2 - 2 X \mathbb{E}X + (\mathbb{E}X)^2 \big) = \\ & = \mathbb{E}(X^2) - 2 \mathbb{E}X \mathbb{E}X + (\mathbb{E}X)^2 = \mathbb{E}(X^2) - 2 (\mathbb{E}X^2) + (\mathbb{E}X)^2 = \\ & = \mathbb{E}(X^2) - (\mathbb{E}X^2) \end{split} \]
\[ \text{var}(X) = \frac{\sum_{i=1}^n(\mu - x_i)^2}{n} \]
\[ \mathbb{E}(\hat \sigma^2) = \sigma^2 \]
\[ \begin{split} \mathbb{E}(\hat \sigma^2) & = \mathbb{E}\Big( \mathbb{E}(X^2) - (\mathbb{E}X)^2 \Big) = \\ & = \mathbb{E}\Big( \overline{X^2} - \bar X^2\Big) = \mathbb{E}(\overline{X^2}) - \mathbb{E}(\bar X^2) \end{split} \]
\(\mathbb{E}(\overline{X^2})\):
\[ \mathbb{E}(\overline{X^2}) = \mathbb{E}\Big( \frac{X_1^2 + X_2^2 + \dots + X_n^2}{n} \Big) = \frac{1}{n} \Big( \mathbb{E}X_1^2 + \mathbb{E}X_2^2 + \dots + \mathbb{E}X_n^2\Big) \]
\[ \mathbb{E}(\overline{X^2}) = \frac{1}{n} \cdot n \cdot \mathbb{E}(X_i^2) = \mathbb{E}(X_i^2) \]
\(\mathbb{E}(\bar X^2)\):
\[ \begin{split} \mathbb{E}(\bar X^2) &= \mathbb{E}\Big( \frac{X_1 + X_2 + \dots + X_n}{n} \Big)^2 = \\ & = \frac{1}{n^2} \mathbb{E}(X_1 + X_2 + \dots + X_n)^2 = \\ & = \frac{1}{n^2} \mathbb{E}(X_1^2 + X_2^2 + \dots X_n^2 + 2X_1X_2 + \dots + 2X_{n-1}X_n) = \\ & = \frac{1}{n^2} \mathbb{E}\Big( (X_1^2 + X_2^2 + \dots X_n^2) + (2X_1X_2 + \dots + 2X_{n-1}X_n) \Big) \end{split} \]
\[ \begin{split} \mathbb{E}(\bar X^2) & = \frac{1}{n^2} \cdot n \cdot \mathbb{E}(X_i^2) + \frac{1}{n^2} \cdot \frac{n(n-1)}{2} \cdot 2 \mathbb{E}(X_iX_j) = \\ & = \frac{1}{n} \mathbb{E}(X_i^2) + \frac{n-1}{n} (\mathbb{E}X_i)^2 \end{split} \]
\[ \begin{split} \mathbb{E}(\hat \sigma^2) & = \mathbb{E}(\overline{X^2}) - \mathbb{E}(\bar X^2) = \\ & = \mathbb{E}(X_i^2) - \frac{1}{n} \mathbb{E}(X_i^2) - \frac{n-1}{n} (\mathbb{E}X_i)^2 = \\ & = \frac{n}{n} \mathbb{E}(X_i^2) - \frac{1}{n} \mathbb{E}(X_i^2) - \frac{n-1}{n} (\mathbb{E}X_i)^2 = \\ & = \frac{n-1}{n} \Big ( \mathbb{E}(X_i^2) - (\mathbb{E}X_i)^2 \Big) = \\ & = \frac{n-1}{n} \sigma^2 \end{split} \]
Если оценка дисперсии отличается от значения параметра в \(\frac{n-1}{n}\) раз, то надо домножить оценку на \(\frac{n}{n-1}\):
\[ s^2 = \frac{n}{n-1} \cdot \hat \sigma^2 = \frac{n}{n-1} \cdot \frac{1}{n} \sum (x_i - \bar x)^2 = \frac{1}{n-1} \sum (x_i - \bar x)^2 \]
\[ \lim_{n \rightarrow \infty} \mathrm{P}(|\hat \theta - \theta| < \varepsilon) = 1, \, \varepsilon > 0 \]
\[ \sigma^2_{\hat \theta} = \min \]
Надёжность точечной оценки:
\[ \gamma = \mathbb{P}(\theta_\min < \theta < \theta_\max) \]
Такая форма оценки называется интервальной оценкой параметра, так как мы указываем интервал, в котором находится истинное значение с определённой вероятностью.
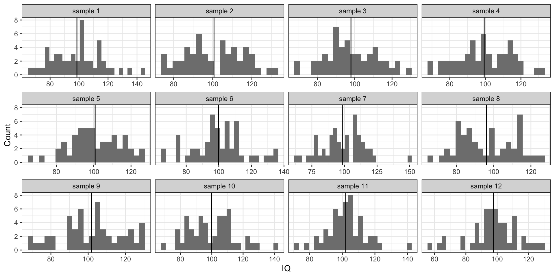
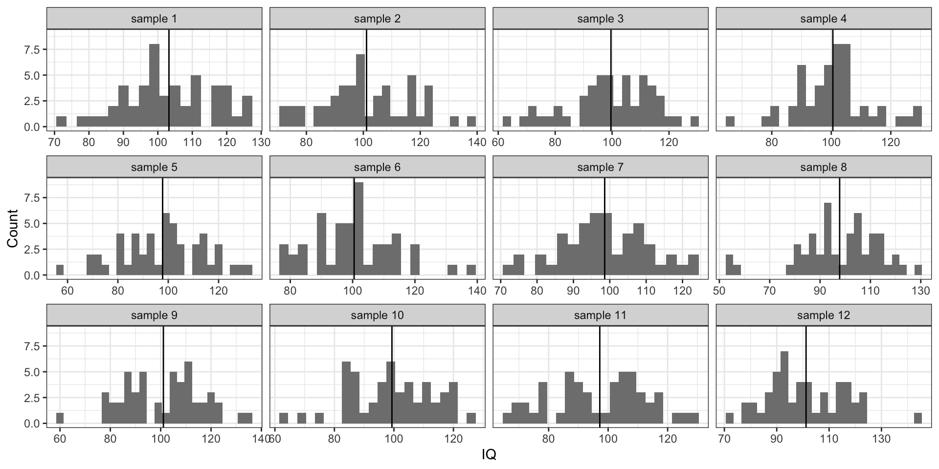
Вновь извлечем несколько выборок из нашей генеральной совокупности:
\[ \mathcal N(\overline{\bar x}, \sigma_{\bar x}^2) \]
\[ \text{se}(\bar x) = \sqrt{\sigma^2_{\overline x}} = \sigma_{\overline x} \]
В нашем случае оно будет равно 1.43.
\[ \begin{split} 0.682 & = \mathbb{P}(\overline{\bar x}-\sigma_{\overline x} < \mu < \overline{\bar x}+\sigma_{\overline x}) \\ & = \mathbb{P}(98.57 < \mu < 101.43) \end{split} \]
\[ \text{se}_X = \frac{\text{sd}_X}{\sqrt{n}} = \frac{\hat \sigma_X}{\sqrt{n}} \]
\[ \text{var}\bar X_i = \text{var}\Big( \frac{1}{n} \sum X_i \Big), \, X_i \overset{\text{i.i.d.}}{\thicksim} (\mu, \sigma^2) \]
\[ \begin{split} \text{var}\bar X_i & = \text{var}\Big( \frac{1}{n} \sum X_i \Big) \\ & = \frac{1}{n^2} \sum \text{var}(X_i) = \frac{1}{n^2} \sum \sigma^2 = \frac{n}{n^2} \sigma^2 = \frac{\sigma^2}{n} \end{split} \]
\[ \text{se}_X = \sqrt{ \text{var}\Big( \frac{1}{n} \sum X_i \Big)} = \sqrt{\frac{\sigma^2}{n}} = \frac{\sigma}{\sqrt{n}} \]
\[ \mathrm{P}(\theta_\min < \theta < \theta_\max) = \gamma, \; \gamma \rightarrow 1 \]
\(\theta_\min\) и \(\theta_\max\) — границы доверительного интервала, \(\gamma\) — доверительная вероятность (обычно \(0.95\)).
\[ \mathbb{P}\Big( \bar x + z_\min \text{se}_X < \mu < \bar x + z_\max \text{se}_X \Big) = \gamma \]
Для 95%-доверительного интервала:
\[ \mathbb{P}\Big( \bar x -1.96 \text{se}_X < \mu < \bar x + 1.96 \text{se}_X \Big) = 0.95 \]
Если мы будет бесконечно извлекать новые выборки из генеральной совокупности, рассчитывать на них средние и 95% доверительные интервалы к ним, то генеральное среднее попадёт в границы 95% таких доверительных интервалов.
Вероятность, что значение параметра генеральной совокупности попадет в пределы конкретного доверительного, рассчитанного в данном исследовании, оказывается меньше — около 84.3%.
Простая гипотеза — \(H : \theta = \theta_0\) или \(H : \theta_1 = \theta_2\)
Сложная гипотеза — \(H : \theta > \theta_0\) или \(H : \theta_1 \neq \theta_2\).
Проверяемая (нулевая) гипотеза — \(H_0\)
Альтернативная гипотеза — \(H_1\)
Какова вероятность получить такие данные, если допустить, что нулевая гипотеза верна?
Насколько вероятна справедливость нулевой или альтернативной гипотезы при условии, что мы получили такие данные.
| \(H_0\) | \(H_1\) | |
|---|---|---|
| \(\hat H_0\) | ✓ | Ошибка II рода |
| \(\hat H_1\) | Ошибка I рода | ✓ |
| \(H_0\) | \(H_1\) | |
|---|---|---|
| \(\hat H_0\) | \(\mathrm P (\hat H_0 | H_0)\) | \(\mathrm P (\hat H_0 | H_1) = \beta\) |
| \(\hat H_1\) | \(\mathrm P (\hat H_1 | H_0) = \alpha\) | \(\mathrm P (\hat H_1 | H_1) = 1 - \beta\) |
\[ \mathrm P (\hat H_1) = \mathrm P (\hat H_1 | H_0) \cdot \mathrm P (H_0) = \alpha \cdot \mathrm P(H_0) \]
\[ \mathrm P (\hat H_0) = \mathrm P (\hat H_0 | H_1) \cdot \mathrm P (H_1) = \beta \cdot \mathrm P (H_1) \]
\[ \alpha \rightarrow 0 \Rightarrow \beta \rightarrow 1 \]
\[ \begin{split} \beta \cdot \mathrm P (H_1) & = \mathrm P (\hat H_0) = \mathrm P (\hat H_0 | H_0) \cdot \mathrm P (H_0) \Rightarrow \\ \beta & = \frac{1}{\mathrm P (H_1)} \cdot \mathrm P (H_0) \cdot \mathrm P(\hat H_0 | H_0) \\ \beta & = \frac{1}{\mathrm P (H_1)} \cdot \big (1 - \mathrm P (H_1 | H_0)\big) = \frac{1}{\mathrm P (H_1)} \cdot \mathrm P (H_0) \cdot (1 - \alpha) \end{split} \]
Критерий — правило, согласно которому гипотезу либо принимают, либо отклоняют. Статистика — величина, позволяющая протестировать гипотезу (непрерывная случайная величина). Критическая область — область отклонения гипотезы.
Критическая область может быть односторонней (при \(H_1:\theta > \theta_0\) или \(H_1: \theta < \theta_0\)) и двусторонней (при \(H_1:\theta \neq \theta_0\)). «Размер» критической области определяется уровнем значимости.
Если значение статистики критерия попало в критическую область, то у нас есть основания отклонить нулевую гипотезу в пользу альтернативной
Статистическая мощность зависит от размера эффекта и объема выборки:
Вероятность ошибиться хотя бы в одном сравнении:
\[ \mathbb{P}^′ = 1 - (1 - \alpha)^m \]
В случае трёх сравнений вероятность ошибиться получается:
\[ \mathbb{P}^′ = 1 - (1 - 0.05)^3 \approx 0.143 \]
Поправка Бонферрони (Bonferroni):
\[ \alpha’ = \frac{\alpha}{n}, \]
где \(n\) — число попарных сравнений.
На практике в силу того, что в статистических пакетах мы работаем с p-value, корректируется именно его значение.
\[ p < \frac{\alpha}{n} \Rightarrow np < \alpha \]
Антон Ангельгардт

WLM 2023